| 有功功率、无功功率变送器
型号:YWD-P3(Q3,PQ3,P4,Q4,PQ4)

一、概述
有功功率变送器、无功功率变送器是一种将被测有功和无功功率转换成按线性比例输出的直流电流或直流电压。并能反应出被测功率的传输方向。适用于各种单相、三相三线和三相四线系统,可广泛用于石油、邮电、冶 金、铁道、市政、电力等部门的电气装置。
二、型号及外形尺寸
单相有功功率变送器型号:YWD-P1
单相无功功率变送器型号:YWD-Q1
单相有功、无功功率组合变送器型号:YWD-PQ1
三相三线有功功率变送器型号:YWD-P3
三相三线无功功率变送器型号:YWD-Q3
三相三线有功、无功功率组合变送器型号:YWD-PQ3
三相四线有功功率变送器型号:YWD-P4
三相四线无功功率变送器型号:YWD-Q4
三相四线有功、无功功率组合变送器型号:YWD-PQ4
外型尺寸: YWD-P1(Q1): 55mm×75mm×120mm
其余: 110mm×75mm×120mm
三、执行标准
GB/T13850-1998idtIEC688:1992
四、主要技术指标
a) 精度等级 0.2级、0.5级
b) 输入、输出及辅助电源参数
|
Vn
输入电压 |
V1
100V |
V2
220V |
V3
270V |
V4
400V |
On
输 出 |
|
An
输入电流 |
A1
1A |
A2
5A |
A3
10A |
|
O5
0~1V |
O6
0~±1V |
O7
0~5V |
O8
0~±5V |
|
Pn
辅助电源 |
P1
DC24V±15% |
P2
DC12V±10% |
P3
AC220V±15% |
P4
用户自定 |
O1
0~20mA |
O2
0~±20mA |
O3
4~20mA |
O4
4~12~20mA |
标准输入满度值
|
型 号
|
接 线 |
标准输入满度值(W/var) |
|
V1(100V) |
V2(220V) |
V3(270V) |
V4(400V) |
|
1A |
5A |
1A |
5A |
1A |
5A |
1A |
5A |
|
YWD-P1、YWD-Q1、YWD-PQ1
YWD-P3、YWD-Q3、YWD-PQ3
YWD-P4、YWD-Q4、YWD-PQ4 |
单相
三相三线
三相四线 |
100
173
300 |
500
866
1500 |
200
400
600 |
1000
2000
3000 |
250
500
800 |
1300
2500
4000 |
400
700
1200 |
2000
3500
6000 |
| |
|
|
|
|
|
|
|
|
|
|
|
|
c) 过载输入 电流:2倍连续 30倍15秒 100倍1秒
电压:2倍连续
d) 响应时间 ≤300ms
e) 吸收功耗:电压回路:<0.2VA/100V
电流回路:<0.1 VA/5A
f) 负载能力 ≤650Ω
g) 工频耐压 输入/输出/外壳间:AC2kV/min
h) 冲击电压 5kV/1.2~50μs(峰值)
i) 绝缘强度 ≥100MΩ
j) 工作环境 温度:-10~50℃ 湿度:10~90%(无凝露)
k) 贮藏条件 温度:-40~70℃ 湿度:10~95%(无凝露)
五、接线图
六、安装
DIN导轨和盘面螺钉两种方式固定,导轨宽度为35mm,螺钉大小为M4×12。
七、产品调试
1、 单有功或单无功功率变送器:打开对应于变送器面板上相应的ZERO和CAL两个橡皮塞,其内的二个电位器分别为零点和满度调校电位器,调校时用小镙丝刀慢慢旋转至所需精度即可。
2、 有功功率、无功功率组合变送器:打开对应于变送器面板上相应的ZERO1、CAL1和ZERO2、CAL2四个橡皮塞,其内的四个电位器分别为有功功率的零点和满度及无功功率的零点和满度调校电位器,调校时用小镙丝刀慢慢旋转至所需精度即可。
3、产品出厂时已调校好零点和精度,请勿随意调整。
八、订货须知
签定订货合同时应详细写明所需的规格、电源及输出参数,并按下列格式将代号填入,特殊规格请用文字
说明。

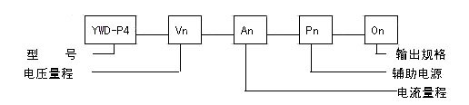
例1:YWD-P4-V3-A2-P1-O3
YWD-P4型三相四有功功率变送器
输 入:270V 5A
辅助电源:DC24V±15%
输 出: 4~20mA/-4000W~0~+4000W
例2:YWD-PQ3-V1-A2-P3-O8
, ; YWD-PQ3型三相三线有功、无功功率组合变送器
输 入:100V 5A
辅助电源:AC220V±15%
输 出:0~±5V/0±~866W(var)
九、注意事项:
1、连接线须***用屏蔽线,且电源线、输入线和输出线须***分离。
2、使用环境应无导电尘埃和无腐蚀金属和破坏绝缘的气体存在,海拔高度小于2500米。
3、产品出厂时已调校好零点和精度,请勿随意调整。
十、安装尺寸(底部视图)

|